Качественные детали и логистика

zakaz@partsell.ru 8 (800) 777-65-74
  • Написать в whatsapp
  • Каталог
  • Справочники
  • Сервисным и ремонтным
    организациям
  • Поставщикам запчастей
  • Контакты
Заказать запчасти

Оригинальные и аналоговые запчасти с доставкой по России, Казахстану и Беларуси

©2022 PartSell
ООО "Система"
ИНН 2463123282
ОГРН 1212400004838


Центральный офис: г. Красноярск, Академика Киренского, д.87, пом.4

Телефон: 8 (800) 777-65-74
Email: zakaz@partsell.ru

8 (800) 777-65-74 zakaz@partsell.ru
Главная
/
Справочники
/
Case IH
/
Машины для сбора урожая
/
HEADERS
/
DRAPER HEADS
/
(8830) - DRAPER HEADER (15, 18 & 21 FT.) S/N CFH0030159 & AFTER (4/91-12/99)
/
(00) - GENERAL & PICTORIAL INDEX
/

(1-1) - GENERAL INFORMATION

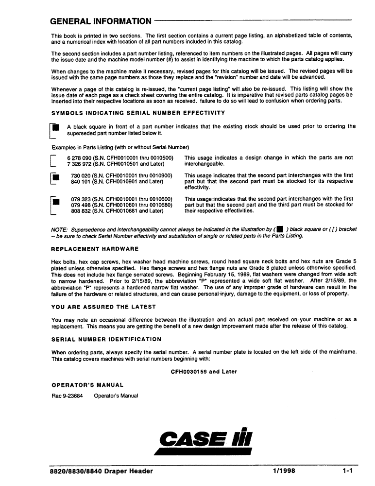
Запчасти Case IH 8830 (1-1) - GENERAL INFORMATION (00) - GENERAL & PICTORIAL INDEX